《通讯·材料》 (Communications Materials) 4月21日在线刊发了彭艳教授领衔的先进金属材料绿色智能化生产理论技术团队关于极低温用钢的最新成果,论文题目为“Cryogenic toughness in a low-cost austenitic steel”。该成果由乌鸦传媒、Technical University of Denmark、清华大学、重庆大学所共同完成。我校为论文第一完成单位,国家冷轧板带装备及工艺工程技术研究中心王玉辉研究员为论文第一作者,中心客座教授黄晓旭及清华大学Andy Godfrey教授为论文共同通讯作者,丹麦技术大学Zhang Yubin研究员,亚稳材料重点实验室王天生教授,美国工程院/丹麦科学院院士Niels Hansen教授共同参与了本项研究。

图1. 3D fracture surface morphology using micro-computed tomography of fine-and coarse-grained samples after Charpy impact testing at LNT.

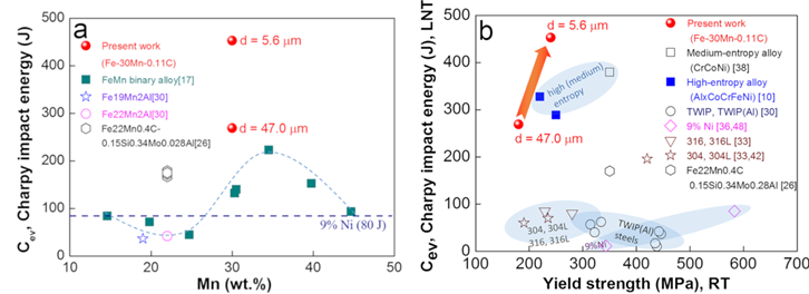
图2. Comparison with various cryogenic metals.
大多数金属塑性和韧性都随着温度的降低而降低,而本项研究工作利用传统冷轧和退火处理的办法获得细晶粒Fe-Mn-C钢打破了这个规律。随着温度的降低,平均晶粒尺寸5.6 mm的Fe-Mn-C钢的强度、塑性和冲击韧性同时提高,在液氮温度时冲击功达到了458J,超过了目前已知金属在液氮温度下的冲击韧性,并且这种传统方法制备的低成本低温钢非常适合工业化应用。
高冲击韧性归功于奥氏体稳定化元素Mn、C的添加以及晶粒细化。室温和低温变形时位错滑移和形变孪晶为细晶粒Fe-Mn-C钢的主要变形机制,变形过程中a¢-马氏体和e-马氏体被完全抑制,从而减少了局部应力和应变集中,阻碍了裂纹形核,增加了加工硬化能力。
近年来,先进金属材料绿色智能化生产理论技术团队在极低温用钢方面连续取得进展,包括文章发表在Scr. Mater., JMST等TOP期刊,授权美国专利US10597742B2(2020) ,国际专利PCT/CN2020/105116及10多项国家发明专利 (ZL201911356888.1; ZL201710010603.3; ZL201810515136.4; ZL201610415595.9; ZL201510178170.3; ZL201410399638.7; ZL2015105492300.0; ZL201510809911.3; ZL201510177583.X; ZL201510682562.3),该项研究的相关工作得到了国家自然科学基金 (51871194) 以及河北省高端钢铁联合基金(E2018203312) 的支持。
《通讯·材料》是国际知名学术出版机构施普林格·自然(Springer Nature)的一本新刊,创办于2019年末,主要发表材料学领域内的重要研究。
论文链接: http://www.nature.com/articles/s43246-021-00149-8